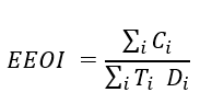
Energy Efficiency Operating Indicator “EEOI”, developed by the IMO in order to allow shipowners to measure the fuel efficiency of a ship in operation. It is a carbon intensity indicator “CII” and represents the demand for transport work.

WhereCi is the carbon emissions for a voyage i calculated for both ballast and laden legs from cargo discharge to cargo discharge using the fuel consumption and carbon factor for each type of fuel, Ti is the amount of cargo transported in metric tons over the given voyage, and Di is the distance travelled in nautical miles while laden with transported cargo on a voyage i . The annual activity is weighted average according to the transport activity undertaken by each category, not a simple average amongst several voyages during a year.